新闻资讯
news
东莞市环仪仪器科技有限公司
电话:0769 83482055
传真:0769 83482056
移动电话:15322932685/宋小姐
地址:广东省东莞市东坑镇龙坑兴业路3号
常见问题
释放舱法voc环境舱测定家具中挥发性有机物
室内环境中由挥发性有机物(voc)导致的空气质量问题已引起高度关注。家具(包括木家具和软体家具)是室内voc污染的重要来源,根据国家标准要求,voc的释放量测试可以使用释放舱法,下面我们结合释放舱法voc环境舱,来看看木质家具的voc释放量怎么做。
家具中挥发性有机物测量方法:
试验设备:环仪仪器 释放舱法voc环境舱
设备大小:1立方米

试验过程:
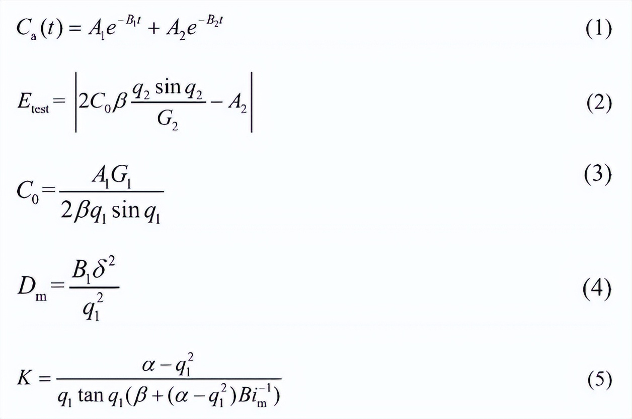
1.建立家具voc释放过程的物理模型。

模型中:
ca为环境舱内voc浓度,μg/m³;
a1、b1、a2、b2为方程(1)的系数;
t为散发时间,s;
etest为误差绝对值;
c0为家具中voc的初始浓度,μg/m³;
dm家具中voc的扩散系数,m²/s;
k为家具内voc的分配系数;
δ为家具的厚度,m;
β(=aδ/v)表示家具体积与环境舱体积之比;
v为环境舱体积,m³;
a为家具散发表面积,m²;
2.在体积为1m3的环境舱内进行测试,实验时环境舱的温湿度均由空调系统进行控制,温度精度为±0.5℃、湿度控制精度为±5%;
3.将环境舱的温度、湿度分别设为(23±0.5)℃和(45±5)%,将处理后不含voc的纯净空气以恒定通风量(0.87m³/h)通入环境舱内,然后将待测家具置于环境舱内进行测试,散发总表面积为3.98m2,厚度为0.021m,承载率为3.98m-1;

4.在家具释放过程中,测量不同时间下的环境舱内目标voc浓度,我们以voc和二甲苯为采样气体,实验中采样多个数据点,用tenax-ta吸附管在环境舱出气口处采样,然后用gc-ms分析。
实验测得第2、4、8、12、24、28、32、48、52、56、72小时环境舱内二甲苯浓度分别为1143.61μg/m³、1008.70μg/m³、831.90μg/m³、645.04μg/m³、424.96μg/m³、357.45μg/m³、375.47μg/m³、219.33μg/m³、206.68μg/m³、195.76μg/m³、143.49μg/m³;

5.将方程(1)中的系数a2和b2设为0,对测得的不同时间环境舱内二甲苯浓度取对数,绘制对数浓度和释放时间的散点图,如下图所示:

选取24小时以后的数据点(呈线性关系)代入方程(1)中进行拟合求得a1和b1的值分别为749.3和-0.024。
6.将测试的全部voc浓度数据代入方程(1),拟合求得a2和b2的值分别为582.1和-0.144,拟合结果如下图所示:

以上就是释放舱法voc环境舱用于家具中测试挥发性有机物的测试方法,如有试验疑问,可以咨询环仪仪器相关技术人员。
上一篇: 1立方释放舱法甲醛voc环境舱的使用方法 下一篇: 甲醛voc小型环境舱
释放舱法voc环境舱测定家具中挥发性有机物-和记娱乐手机版

环仪仪器厂家提供完整的和记娱乐手机版的售后服务,每一台环仪设备都有机身编号,只需提供机身号就可获得高效的覆盖全国30多个省市的和记娱乐手机版的售后服务,环仪承诺环境测试舱2年质保,终身维修,服务网点及周边地区确保2小时快速响应。


