新闻资讯
news
东莞市环仪仪器科技有限公司
电话:0769 83482055
传真:0769 83482056
移动电话:15322932685/宋小姐
地址:广东省东莞市东坑镇龙坑兴业路3号
常见问题
汽车显示屏老化箱对屏幕加速老化的时间换算
汽车显示屏老化箱对屏幕加速老化试验,按性质可分为储存寿命试验和工作寿命试验,工作寿命试验是指在规定的正常工作条件下对产品进行试验。为了缩短试验周期,通过加大应力的方法促使投试产品在短时期内失效,从而预测产品总体在正常工作条件下的寿命。下面,我们对对屏幕加速老化的时间换算,做个简单讲解。
屏幕加速老化的时间换算:
试验设备:环仪仪器 汽车显示屏老化箱

汽车显示屏的工作环境温度是非恒定的,而是在一定的温度范围内分布。在根据零部件使用位置获取到温度分布数据后,应用来计算高温加速寿命试验的持续时间。温度分布数据格式如下表所示。

对于tfield,1、tfield,2、…、tfield,i各个现场工作温度,可以通过下式来计算各个现场工作温度下的加速因子。
式aft,i中:

aft,i———现场工作温度tfield,i的加速因子;
ea———激活能,单位为e v,德国大众汽车标准推荐值为0.45ev
ttest———试验用测试温度,通常取最大工作温度,单位为℃;
tfield,i———根据温度分布得出的现场工作温度,单位为℃;-273.15℃为绝对零度。
对于显示屏已经有明确的可靠性目标(即现场实际使用的期望时间寿命tfield),通过上式aft,i求出各个现场工作温度对应的加速因子和上表中的各个温度分布所占百分比即可以计算在此测试温度下进行高温加速耐久试验的试验时间。
式中:

ttest———高温耐久试验的试验时间;
pi———现场使用时零部件运行在温度tfield,i的时间占全部运行时间的百分比。
老化时间换算实例:
以某汽车高清显示屏为例,其声称的工作范围为-40~85℃,温度分布如下表所示。

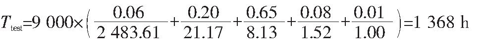
系统设计可靠性为现场正常运行9 000 h。进行高温加速寿命试验时,取试验温度ttest为最高工作温度85℃,则可根据式aft,i计算各个温度下的加速因子,得at,1=2 483.61、at,2=21.17、at,3=8.13、at,4=1.52、at,5=1.00。再根据个温度所占百分比,应用式ttest计算高温加速试验所需的工作时间如下:

因此,在进行高温加速寿命试验时,零部件工作时间为1 368 h。另外,在试验时通常零部件在典型运行模式47 h和休眠模式1h之间交替循环,每次试验采用6个零部件同时进行。在试验前、中、后进行性能参数测试,以判定零部件是否失效。
如有汽车屏幕老化试验疑问,可以咨询环仪仪器相关技术人员。
上一篇: 中控屏老化柜 下一篇: 车载仪表屏幕老化房的试验步骤
汽车显示屏老化箱对屏幕加速老化的时间换算-和记娱乐手机版

环仪仪器厂家提供完整的和记娱乐手机版的售后服务,每一台环仪设备都有机身编号,只需提供机身号就可获得高效的覆盖全国30多个省市的和记娱乐手机版的售后服务,环仪承诺环境测试舱2年质保,终身维修,服务网点及周边地区确保2小时快速响应。


